《傳統技藝匠師採訪錄第一輯》
書名:傳統技藝匠師採訪錄第一輯
著者:省文獻會採集組編輯
出版:臺灣省文獻委員會
出版日期:民國85年2月
ISBN:957-00-8282-8
定價:新臺幣395元
內容簡介:
本書共分為二輯出版,共採訪49位傳統技藝匠師,詳實紀錄技藝匠師之生平事蹟、師承過程、製作過程、使用工具方法與技術、創作歷程、代表作品等內容。傳統民俗技藝具有濃厚的鄉土性與親和力,不論是民俗戲曲、民族藝術、傳統手工藝、雜技乃至於歲時信仰,都與土地、民族緊緊相扣。隨著時代發展,科技、經濟與社會結構的改變,使得傳統民俗技藝逐漸式微,技藝師傅亦日漸凋零,盼透過本書採訪並推廣傳統技藝,為保存傳統民俗技藝與文化盡一份心力。
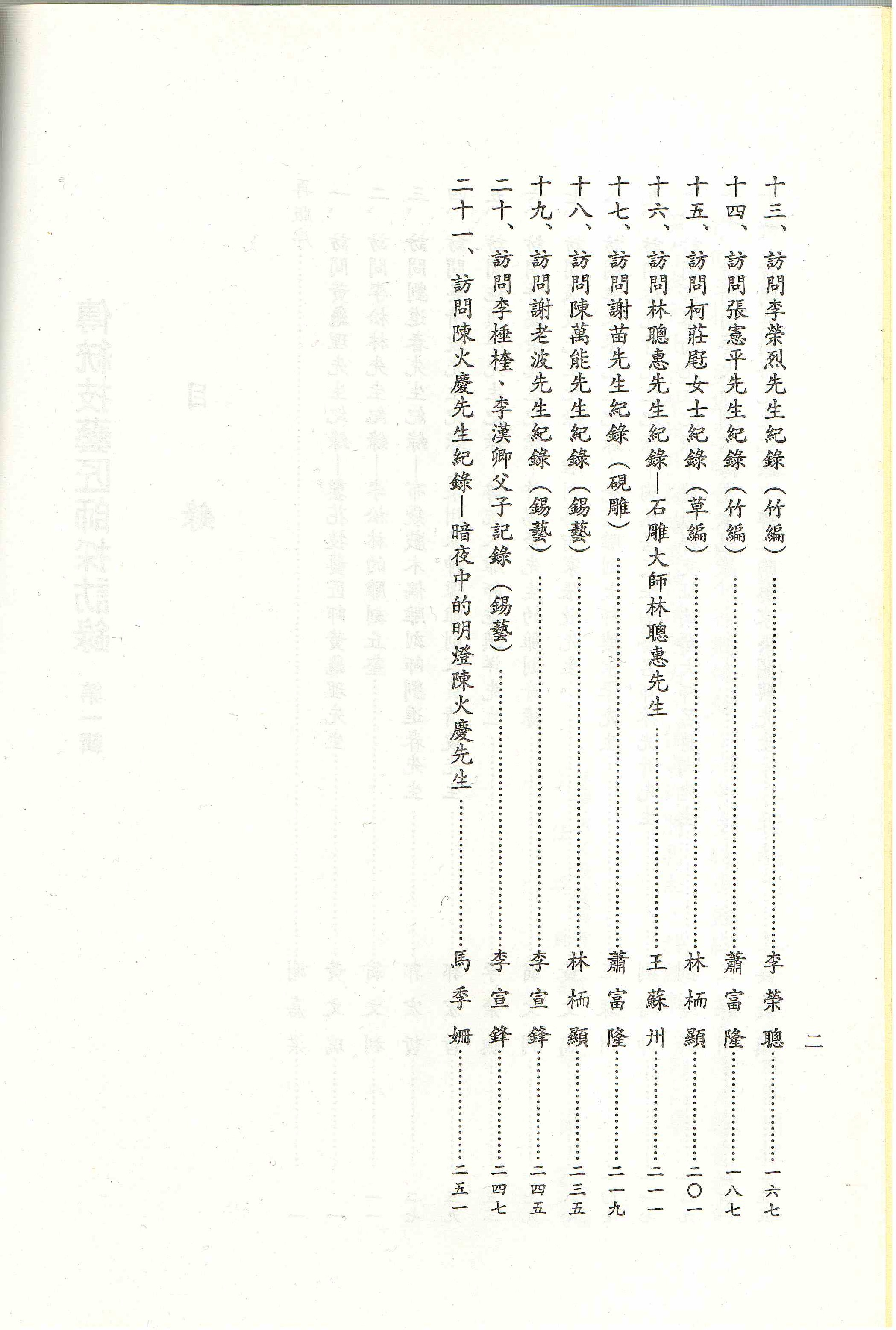
第一輯共訪問黃龜理、李松林、劉進春、吳清波、施鎮洋、許協榮、張敬、樓永譽、林洸沂、呂勝南、劉銘侮、吳開興、李榮烈、張憲平、柯莊屘、林聰惠、謝苗、陳萬能、謝老波、李棰楏與李漢卿、陳火慶等21組匠師,內容包括鑿花、各式雕刻、交趾陶、陶藝、竹編、草編、硯雕、錫藝、漆器等,並附有大量製作過程與成品照片。本書成書於民國85年,採訪當時,已有多位老師傅高齡8、90歲,卻依然對文化與技藝充滿熱忱。如今近1/4世紀過去(本文撰於民國109年),多數老師傅已辭世,本館能親身採訪、收錄並分享多項作品照片,保存第一手資料,實是本館的榮幸。
展售處:
※國家書店松江門市。臺北市松江路209號1樓,02-25180207
http://www.govbooks.com.tw
※五南文化廣場臺中總店。臺中市中區中山路6號,04-22260330
http://www.wunanbooks.com.tw
※本館史蹟大樓1樓販賣部,亦可購得本館出版之書籍,地址:南投縣南投市中興新村光明一路256號,電話049-2316881轉168,歡迎洽詢。
著者:省文獻會採集組編輯
出版:臺灣省文獻委員會
出版日期:民國85年2月
ISBN:957-00-8282-8
定價:新臺幣395元
內容簡介:
本書共分為二輯出版,共採訪49位傳統技藝匠師,詳實紀錄技藝匠師之生平事蹟、師承過程、製作過程、使用工具方法與技術、創作歷程、代表作品等內容。傳統民俗技藝具有濃厚的鄉土性與親和力,不論是民俗戲曲、民族藝術、傳統手工藝、雜技乃至於歲時信仰,都與土地、民族緊緊相扣。隨著時代發展,科技、經濟與社會結構的改變,使得傳統民俗技藝逐漸式微,技藝師傅亦日漸凋零,盼透過本書採訪並推廣傳統技藝,為保存傳統民俗技藝與文化盡一份心力。
第一輯共訪問黃龜理、李松林、劉進春、吳清波、施鎮洋、許協榮、張敬、樓永譽、林洸沂、呂勝南、劉銘侮、吳開興、李榮烈、張憲平、柯莊屘、林聰惠、謝苗、陳萬能、謝老波、李棰楏與李漢卿、陳火慶等21組匠師,內容包括鑿花、各式雕刻、交趾陶、陶藝、竹編、草編、硯雕、錫藝、漆器等,並附有大量製作過程與成品照片。本書成書於民國85年,採訪當時,已有多位老師傅高齡8、90歲,卻依然對文化與技藝充滿熱忱。如今近1/4世紀過去(本文撰於民國109年),多數老師傅已辭世,本館能親身採訪、收錄並分享多項作品照片,保存第一手資料,實是本館的榮幸。
展售處:
※國家書店松江門市。臺北市松江路209號1樓,02-25180207
http://www.govbooks.com.tw
※五南文化廣場臺中總店。臺中市中區中山路6號,04-22260330
http://www.wunanbooks.com.tw
※本館史蹟大樓1樓販賣部,亦可購得本館出版之書籍,地址:南投縣南投市中興新村光明一路256號,電話049-2316881轉168,歡迎洽詢。